-
[Operating System] 교착 상태 : 교착 상태란Operating System 2024. 5. 20. 12:04
교착상태에 대해 정리하였습니다.참조 : 인프런 '개발자를 위한 컴퓨터공학 1: 혼자 공부하는 컴퓨터구조 + 운영체제'
< 교착 상태란 >
일어나지 않을 사건을 기다리며 진행이 멈춰 버리는 현상을 교착상태라고 합니다.
교착상태를 해결하기 위해서는
1. 교착 상태가 발생했을 때의 상황을 정확히 표현해보기
2. 교착 상태가 일어나는 근본적인 이유 이해하기교착상태 예시 : 식사하는 철학자 문제

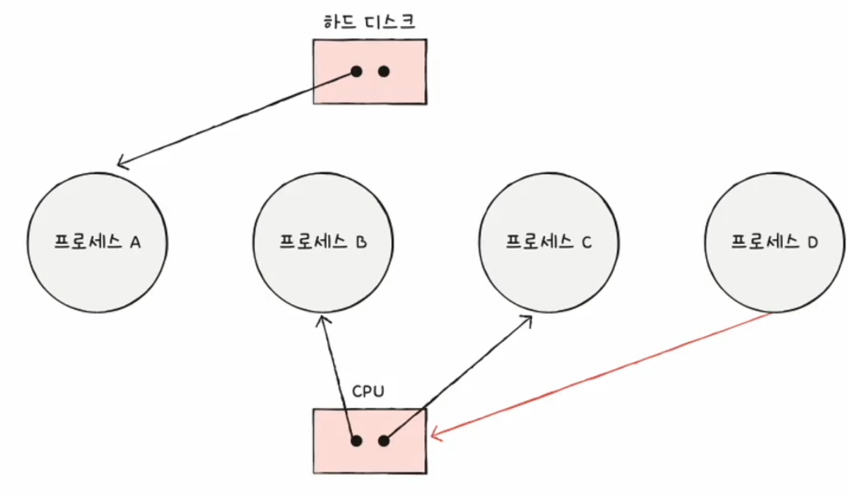
< 자원 할당 그래프 >
자원 할당 그래프를 통해 교착 상태가 발생했을 때의 상황을 이해할 수 있습니다.
교착 상태가 일어난 그래프는 자원 할당 그래프가 원의 형태를 띄고 있습니다.[ 자원 할당 그래프 그리는 방법 ]
1. 프로세스는 원으로, 자원의 종류는 사각형으로 표현

2. 사용할 수 있는 자원의 개수는 자원 사각형 내에 점으로 표현

3. 프로세스가 어떤 자원을 할당 받아 사용 중이라면 자원에서 프로세스를 향해 화살표를 표시

4. 프로세스가 어떤 자원을 기다리고 있다면 프로세스에서 자원으로 화살표를 표시

[ 식사하는 철학자 문제 자원 할당 그래프 ]

< 교착 상태의 발생 조건 >
1. 상호 배제 : 한 프로세스가 사용하는 자원을 다른 프로세스가 사용할 수 없는 상태
2. 점유와 대기 : 자원을 할당 받은 상태에서 다른 자원을 할당 받기를 기다리는 상태
3. 비선점 : 어떤 프로세스도 다른 프로세스의 자원을 강제로 빼앗지 못하는 상태
4. 원형 대기 : 프로세스들이 원의 형태로 자원을 대기하는 상태
위 네가지 조건을 모두 만족하면 교착 상태가 발생할 수 있습니다.
위 네가지 조건 중 하나라도 만족하지 않으면 교착상태가 발생하지 않습니다.'Operating System' 카테고리의 다른 글
[Operating System] 가상 메모리 : 연속 메모리 할당 (0) 2024.05.20 [Operating System] 교착 상태 : 교착 상태 해결 방법 (0) 2024.05.20 [Operating System] 프로세스 동기화 : 동기화 기법 (0) 2024.05.20 [Operating System] 프로세스 동기화 : 동기화란 (0) 2024.05.19 [Operating System] CPU 스케줄링 : 알고리즘 (0) 2024.05.19